Lafaz Niat Mandi Wajib Selepas Bersetubuh

Niat Mandi Wajib Dan Cara Mandi Junub Yang Betul

Niat Mandi Wajib Dan Cara Mandi Junub Yang Betul

Info Panduan Cara Mudah Mandi Wajib Menurut Jakim Wanista Com

Info Panduan Cara Mudah Mandi Wajib Menurut Jakim Wanista Com

Dunia Pemikiran Nurul Fatihah Mohd Sobri Mandi Wajib

Dunia Pemikiran Nurul Fatihah Mohd Sobri Mandi Wajib

Panduan Cara Mandi Wajib Untuk Wanita Tips Rumah Tangga Bahagia Selamanya Facebook

Panduan Cara Mandi Wajib Untuk Wanita Tips Rumah Tangga Bahagia Selamanya Facebook

Niat Mandi Wajib Selepas Bersetubuh

Niat Mandi Wajib Selepas Bersetubuh

Niat Mandi Wajib Selepas Bersetubuh

Doa Mandi Wajib Laki Laki Dan Perempuan Ketika Junub Atau Setelah Berhubungan Islamic Quotes Kata Kata Indah Kutipan Agama

Doa Mandi Wajib Laki Laki Dan Perempuan Ketika Junub Atau Setelah Berhubungan Islamic Quotes Kata Kata Indah Kutipan Agama

Android Icin Panduan Cara Mandi Wajib Apk Yi Indir

Android Icin Panduan Cara Mandi Wajib Apk Yi Indir

Niat Dan Cara Mandi Wajib Haid Youtube

Niat Dan Cara Mandi Wajib Haid Youtube

Cara Mandi Wajib Yang Betul Dalam Islam

Cara Mandi Wajib Yang Betul Dalam Islam

Doa Sebelum Bersetubuh Youtube

Doa Sebelum Bersetubuh Youtube

Mandi Wajib Sebelum Puasa Ini Panduan Mandi Junub Yang Betul Theasianparent Malaysia

Mandi Wajib Sebelum Puasa Ini Panduan Mandi Junub Yang Betul Theasianparent Malaysia

Doa Mandi Wajib Arab Rumi Terjemahan Bahasa Melayu Youtube

Doa Mandi Wajib Arab Rumi Terjemahan Bahasa Melayu Youtube

Bacaan Niat Dan Tata Cara Mandi Wajib Setelah Bersetubuh Untuk Suami Istri Menurut Ajaran Islam Tribun Sumsel

Bacaan Niat Dan Tata Cara Mandi Wajib Setelah Bersetubuh Untuk Suami Istri Menurut Ajaran Islam Tribun Sumsel

Cara Mandi Wajib Yang Betul Untuk Lelaki Perempuan Mengikut Jakim

Cara Mandi Wajib Yang Betul Untuk Lelaki Perempuan Mengikut Jakim

Cara Lafaz Niat Puasa Bulan Ramadhan Harian Dan Sebulan Pengertian Puasa Dari Segi Istilah Bermaksud Menahan Diri Daripada Makan Da Ramadhan Doa Islam Ramadan

Cara Lafaz Niat Puasa Bulan Ramadhan Harian Dan Sebulan Pengertian Puasa Dari Segi Istilah Bermaksud Menahan Diri Daripada Makan Da Ramadhan Doa Islam Ramadan

Thedainty12 Blogspot Com Nurizzatilatif Selamat Menyambut Bulan Ramadan Happy Ramadan

Thedainty12 Blogspot Com Nurizzatilatif Selamat Menyambut Bulan Ramadan Happy Ramadan

Hukum

Hukum

Doc Perkara Asas Fardu Ain Pafa Firdaus Sktar Academia Edu

Doc Perkara Asas Fardu Ain Pafa Firdaus Sktar Academia Edu

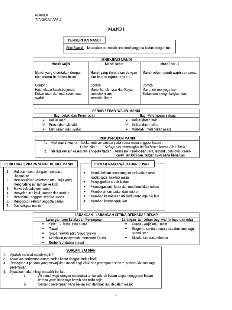
Mandi

Mandi

Niat Mandi Wajib Selepas Bersetubuh

Niat Mandi Wajib Selepas Bersetubuh

Ibadat 20 5 Mandi Besar Kerana Allah Taala

Ibadat 20 5 Mandi Besar Kerana Allah Taala

Mandi Wajib Religious Studies Quiz Quizizz

Mandi Wajib Religious Studies Quiz Quizizz

Selamat Datang Ramadhan Lafaz Niat Syasya Collections Facebook

Selamat Datang Ramadhan Lafaz Niat Syasya Collections Facebook

Https Encrypted Tbn0 Gstatic Com Images Q Tbn 3aand9gcq0fnapgynfqwjh6hpuicd7qdfqlhkatom9ym0cfw9jrqyfpsyx Usqp Cau

Https Encrypted Tbn0 Gstatic Com Images Q Tbn 3aand9gcq0fnapgynfqwjh6hpuicd7qdfqlhkatom9ym0cfw9jrqyfpsyx Usqp Cau

Cara Lafaz Niat Harian Dan Sebulan Puasa Kelab Info Malaysia Facebook

Cara Lafaz Niat Harian Dan Sebulan Puasa Kelab Info Malaysia Facebook

Nota Ulangkaji Upkk Pages 1 20 Text Version Anyflip

Nota Ulangkaji Upkk Pages 1 20 Text Version Anyflip

Cara Mandi Wajib Yang Betul Dan Sah Doa Niat Lelaki Perempuan

Cara Mandi Wajib Yang Betul Dan Sah Doa Niat Lelaki Perempuan

Kongsion9 Cara Mandi Wajib Selepas Bersetubuh

Kongsion9 Cara Mandi Wajib Selepas Bersetubuh

Niat Mandi Wajib Hingga Ke Cara Mandi Wajib Yang Betul Lengkap

Niat Mandi Wajib Hingga Ke Cara Mandi Wajib Yang Betul Lengkap

Source : pinterest.com