Latihan Industri Di Bank Simpanan Nasional

Jawatan Kosong Di Bank Simpanan Nasional Bsn Seluruh Negara Jobcari Com Jawatan Kosong Terkini

Jawatan Kosong Di Bank Simpanan Nasional Bsn Seluruh Negara Jobcari Com Jawatan Kosong Terkini

Latihan Industri By Liyana Azman On Prezi Next

Latihan Industri By Liyana Azman On Prezi Next

Jawatan Kosong Di Bank Simpanan Nasional Bsn Teller Seluruh Negara Jobcari Com Jawatan Kosong Terkini

Jawatan Kosong Di Bank Simpanan Nasional Bsn Teller Seluruh Negara Jobcari Com Jawatan Kosong Terkini

Jawatan Kosong Di Bank Simpanan Nasional Jobcari Com Jawatan Kosong Terkini

Jawatan Kosong Di Bank Simpanan Nasional Jobcari Com Jawatan Kosong Terkini

Report Trial

Report Trial

Jawatan Kosong Terbaru Di Bank Simpanan Nasional Seluruh Negara Jobcari Com Jawatan Kosong Terkini

Jawatan Kosong Terbaru Di Bank Simpanan Nasional Seluruh Negara Jobcari Com Jawatan Kosong Terkini

Jawatan Kosong Terbaru Di Bank Simpanan Nasional Seluruh Negara Jobcari Com Jawatan Kosong Terkini

Semasa menjalani latihan industri saya telah dihantar ke beberapa bahagian untuk menambah ilmu saya berkaitan operasi bank.

Latihan industri di bank simpanan nasional. Pemohon disarankan untuk mengemaskini maklumat maklumat terkini yang diperlukan di dalam sistem ini. Sila lakukan carian bank simpanan nasional di laman jobstreet. Q a bpn bayaran bpn fasa pertama kepada penerima b40 yang tidak mempunyai akaun bank atau gagal. Motivated by our mission to deliver a better life within the reach of all malaysians we push our limits to provide comprehensive financial services.

Selama 5 bulan iaitu bermula pada 23 6 2014 sehingga 07 11 2014. Q a bpn wakil atau waris yang dibenarkan untuk menunaikan nombor siri di bank simpanan nasional png. Bagi permohonan kali pertama pemohon perlu mendaftar terlebih dahulu sebelum membuat pengisian maklumat yang diperlukan dalam sistem. Untuk makluman saudara saudari boleh memohon latihan industri di bank rakyat dan untuk permohonan sila hantar ke alamat seperti di bawah atau cawangan bank rakyat berdekatan.

Di akhir latihan industri pelajar di harap dapat mencapai objektif dan memanfaatkan segala ilmu yang dipelajari dalam menghadapi cabaran era globalisasi dunia hari ini yang semakin mencabar. Jabatan pengurusan bakat pelan penggantian pembangunan kerjaya. Pmb investment melantik bank simpanan nasional sebagai perunding unit amanah institusi iuta kuala lumpur 4 februari 2020 pmb investment berhad pmb investment sebuah syarikat pengurusan dana islam ifmc menandatangani memorandum persefahaman mou bagi pelantikan bank simpanan nasional bsn sebagai perunding unit amanah institusi iuta ke tujuhnya bagi mempromosi dan mengedar dua. Q a bpn pelajar yang sedang menjalani latihan praktikal latihan industri atau workbased learning png.

1 2 objektif latihan industri setiap pelajar politeknik kementerian pengajian tinggi malaysia akan menjalani latihan industri di firma firma kerajaan. Bank cimb bank maybank bank simpanan nasional public bank public islamic bank agro bank hong leong bank bank muamalat hsbc amanah affin bank ocbc tekun ambank bank pembangunan malaysia. Syarikat yang diingini senaraikan dulu syarikat syarikat yang korang rasa korang selesa dan berminat untuk jalani latihan industri di situ. Q a bpn gagal kredit bpn png.

Temuduga Terbuka Bank Simpanan Nasional Bsn Jobcari Com Jawatan Kosong Terkini

Temuduga Terbuka Bank Simpanan Nasional Bsn Jobcari Com Jawatan Kosong Terkini

Jawatan Kosong Terkini Di Bank Simpanan Nasional Bsn Seluruh Negara Gaji Rm2 000 00 Rm3 500 00 Jobcari Com Jawatan Kosong Terkini

Jawatan Kosong Terkini Di Bank Simpanan Nasional Bsn Seluruh Negara Gaji Rm2 000 00 Rm3 500 00 Jobcari Com Jawatan Kosong Terkini

Latihan Industri Di Lembaga Hasil Dalam Negeri Lhdn 1 2020 Jobcari Com Jawatan Kosong Terkini

Latihan Industri Di Lembaga Hasil Dalam Negeri Lhdn 1 2020 Jobcari Com Jawatan Kosong Terkini

Report Latihan Industri Dsk

Report Latihan Industri Dsk

Jawatan Kosong Terkini Di Bank Simpanan Nasional Bsn Eksekutif Pengurus Gaji Rm3 000 00 Rm11 200 00 Jobcari Com Jawatan Kosong Terkini

Jawatan Kosong Terkini Di Bank Simpanan Nasional Bsn Eksekutif Pengurus Gaji Rm3 000 00 Rm11 200 00 Jobcari Com Jawatan Kosong Terkini

Temuduga Terbuka Di Bank Simpanan Nasional Pelbagai Negeri Gaji Rm1 300 00 Rm2 800 00 Jobcari Com Jawatan Kosong Terkini

Temuduga Terbuka Di Bank Simpanan Nasional Pelbagai Negeri Gaji Rm1 300 00 Rm2 800 00 Jobcari Com Jawatan Kosong Terkini

Temuduga Terbuka Polis Bantuan Bank Simpanan Nasional Bsn Jobcari Com Jawatan Kosong Terkini

Temuduga Terbuka Polis Bantuan Bank Simpanan Nasional Bsn Jobcari Com Jawatan Kosong Terkini

Jawatan Kosong Di Bank Simpanan Nasional Bsn 2020 Jobcari Com Jawatan Kosong Terkini

Jawatan Kosong Di Bank Simpanan Nasional Bsn 2020 Jobcari Com Jawatan Kosong Terkini

Aazumeconjgdrm

Aazumeconjgdrm

Temuduga Terbuka Bank Simpanan Nasional Bsn Di Buka

Temuduga Terbuka Bank Simpanan Nasional Bsn Di Buka

Latihan Industri Di Lembaga Hasil Dalam Negeri Lhdn Siri 2 2020 Jobcari Com Jawatan Kosong Terkini

Latihan Industri Di Lembaga Hasil Dalam Negeri Lhdn Siri 2 2020 Jobcari Com Jawatan Kosong Terkini

Jawatan Kosong Di Bank Simpanan Nasional Jobcari Com Jawatan Kosong Terkini

Jawatan Kosong Di Bank Simpanan Nasional Jobcari Com Jawatan Kosong Terkini

Program Latihan Industri Perpaduan Plip Official Portal Of The Department Of National Unity And Integration Perpaduan

Program Latihan Industri Perpaduan Plip Official Portal Of The Department Of National Unity And Integration Perpaduan

Kplb On Twitter

Kplb On Twitter

Bank Simpanan Nasional Jawatan Kosong Bsn 17 Disember 2018 Bsn Johor Incoming Call Screenshot

Bank Simpanan Nasional Jawatan Kosong Bsn 17 Disember 2018 Bsn Johor Incoming Call Screenshot

Nst Online Live Putrajaya Announcement Of The 2020

Nst Online Live Putrajaya Announcement Of The 2020

Laman Web Rasmi Unit Perhubungan Dan Latihan Industri Pkb

Laman Web Rasmi Unit Perhubungan Dan Latihan Industri Pkb

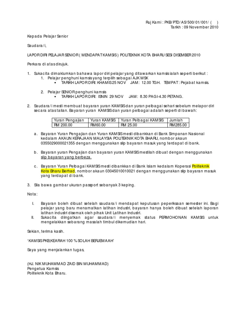
Pen Em Pa Tank Am Sis Dis 2010

Pen Em Pa Tank Am Sis Dis 2010

Politeknik Kota Bharu Km 24 Kok Lanas 16450 Ketereh Kelantan Tel 09 7889126 344 641 Faks 09 7889739

Politeknik Kota Bharu Km 24 Kok Lanas 16450 Ketereh Kelantan Tel 09 7889126 344 641 Faks 09 7889739

New Exhibitions For The Nation 60 Years Of Central Banking And The 60 Koleksi Bank Negara Malaysia From Emily To You

New Exhibitions For The Nation 60 Years Of Central Banking And The 60 Koleksi Bank Negara Malaysia From Emily To You

Conditional Movement Control Order Extended Until 9th June 2020 From Emily To You

Conditional Movement Control Order Extended Until 9th June 2020 From Emily To You

Convert Car To Classic Vintage Status From Emily To You

Convert Car To Classic Vintage Status From Emily To You

Leong Dei Kun Ldk Quarantine Station List Part 3

Leong Dei Kun Ldk Quarantine Station List Part 3

How To Withdraw Up To Rm500 Monthly From Your Epf Akaun 2 From Emily To You

How To Withdraw Up To Rm500 Monthly From Your Epf Akaun 2 From Emily To You

Source : pinterest.com